Indikátory
Bollingerova pásma: Co jsou a jak se používají v obchodování?

Bollingerova pásma jsou indikátorem, který nám poskytuje cenný pohled na různé pohyby na finančních trzích. Vyzývá nás, abychom věnovali naši pozornost rozpoznání možných bodů obratu a změn trendu. A to zejména když se zvyšuje volatilita na trhu, což je charakteristické pro závěrečné fáze nějaké struktury. Tento jev se projevuje, když cena dosáhne určitých klíčových úrovní a překročí je, což je znázorněno známými pásmy, které tento indikátor kreslí.
Bollingerova pásma byly vyvinuty matematikem a systémovým programátorem Johnem Bollingerem. V následujícím článku se tedy zamyslíme nad tím, co tyto pásma jsou a jak je využívat v našich obchodních strategiích.
Co jsou to Bollingerova pásma v obchodování?
Bollingerova pásma jsou indikátorem, který bere jako referenci cenu a určitý počet období a používá jako vzor určitou množinu svíček v jakémkoli časovém rámci.
Klasické nastavení zahrnuje kreslení jednoduchého klouzavého průměru s informacemi z 20 svíček nebo období a naprogramování algoritmu, který vykreslí dvě pásma, jedno pozitivní a jedno negativní, každé se dvěma směrodatnými odchylkami.
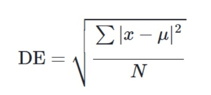
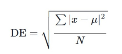
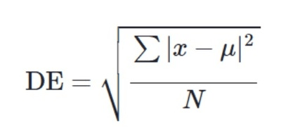
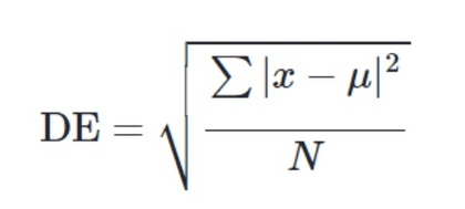
Směrodatná nebo standardní odchylka je měřítkem rozsahu nebo variability v popisné statistice. Používá se k výpočtu rozptylu nebo rozložení, ve kterém se jednotlivé datové body liší od průměru. Jinými slovy, standardní odchylka označuje v grafu variabilitu ceny vzhledem k dříve stanovenému průměru.
Je důležité to vedět, pokud chcete upravit nebo přizpůsobit nastavení indikátoru pro různé aktiva nebo také časové rámce.

Na horním grafu vidíme, jak aplikací dvou indikátorů Bollingerových pásem, jednoho s 2 standardními odchylkami a druhého s 3 standardními odchylkami, v momentech široké volatility, je to druhý indikátor, ten s 3 standardními odchylkami, který nám označuje možnou konečnou zónu pohybu.
👉 Pro více informací: Technická analýza - Principy, teorie, figury a indikátory
Jak vypočítat Bollingerova pásma?
Způsob programování nebo výpočtu Bollingerových pásem je velmi jednoduchý, pro lepší pochopení rozdělíme indikátor na dvě základní části.
Na jedné straně máme klouzavý průměr, který John po mnoha studiích dospěl k závěru, že nejlepší programování je s 20 obdobími, což znamená, že pro výpočet jednoduchého klouzavého průměru používá posledních 20 svíček nebo barů, bez ohledu na časový rámec. Mělo by být tedy jedno jaké zobrazení použijeme. Ovšem toto nastavení platí především pro týdenní, denní a 4hodinové grafy. Pro jiné zobrazení je potřeba indikátor lehce upravit, ale o tom později.
Hlavní myšlenka tohoto klouzavého průměru s 20 obdobími, je vymezit oblast, kde se cena udržuje neustále v aktuálním trendu.
Takže myšlenka je, že pokud se cena udržuje nad klouzavým průměrem, cena by měla pokračovat v rostoucím trendu.
A naopak cena by měla zůstat v klesajícím trendu, pokud je cena pod tímto klouzavým průměrem.
Nicméně, jak uvidíme, není jen důležité kontrolovat trend, ale oscilátor Bollingerových pásem nám poskytuje mnohem více informací s různými prvky a jejich pohyby.

Zde můžeme vidět indikátor s dvěma programováními hlavního klouzavého průměru, nahoře s 20 obdobími a dole s 34 obdobími, v obou případech je odchylka 2 standardní odchylky.
Pro výpočet směrodatné odchylky to uděláme jednoduše pomocí statistického matematického vzorce.

Kroky pro výpočet by Bollingerová pásma by byl následující:
- Krok 1: vypočítat průměr.
- Krok 2: vypočítat druhou mocninu vzdálenosti od průměru pro každý údaj.
- Krok 3: sečíst hodnoty, které vznikly v kroku 2.
- Krok 4: vydělit počtem údajů.
- Krok 5: odečíst druhou odmocninu.
Samozřejmě, abychom získali 2 nebo jiné směrodatné odchylky, musíme použít odpovídající násobitel ve vzorci.
S každým novým údajem zanedbáváme ten nejstarší, a znovu provádíme všechny operace, nejprve průměr a poté směrodatné odchylky, čímž získáme vývoj indikátoru.
Indikátor Bollingerových pásem je velmi citlivý na různé programy, a aby bylo možné získat očekávané informace, je třeba program přizpůsobit situaci.
Průměr 20 období a 2 směrodatné odchylky je určen především pro týdenní, denní a až 4hodinové grafy, pro grafy s menší časovou osou je třeba tyto parametry jemně poupravit.
Pro příklad na 5minutovém grafu funguje mnohem lépe, 20 období jednoduchého průměru a mezi 1,6 až 1,7 směrodatné odchylky (ne 2). Jako všechny indikátory a oscilátory je třeba je důkladně prostudovat, abychom dobře porozuměli informacím, které nabízejí, a přizpůsobili je našemu obchodování.

Na horním grafu, při zachování jednoduchého klouzavého průměru za 20 období, jsem nakreslil tři různé standardní odchylky, s 1, 2 a 3 standardními odchylkami nad klasickým průměrem.
Všimněte si, že kdo by chtěl obchodovat pouze trendové pohyby, používající linii 1 standardní odchylky, nad nebo pod klouzavým průměrem, jako kontrolu, a mající po celou dobu jako informaci pro kontrolu volatility linie 2 a 3 standardních odchylek:
Vstoupil by na trh nad 1 SD, vystoupil by, pokud by došlo k nadměrné volatilitě při dotyku pásma 3 SD, nebo by se klidně držel na trhu a při ztrátě pásma 1 SD by vystoupil. Neobchodoval by, když se cena pohybuje v oblasti od 1 SD do -1 SD. Konsolidace do strany s osou klouzavého průměru.
Jak využít Bollingerova pásma?
Pokusím se držet standardních parametrů, které John Bollinger stanovil jako ideální pro různé vzory, které očekával od indikátoru, tedy klouzavý průměr SMA za 20 období a 2 standardní odchylky. To co jsme si stanovili na začátku článku.

Na jedné straně máme nejdůležitější část indikátoru, kterou je jednoduchý klouzavý průměr za 20 období, použití tohoto klouzavého průměru je jasné, umožňuje pozorovat a tedy používat jako kontrolní linii při sledování trendu. Jak jsme si již zmínili výše. Bollingerová pásma můžeme používat jako kontrolu, zda-li je pravděpodobné, že trend bude pokračovat svým směrem. Tedy rostoucí bude dále růst a klesající dále klesat.
Bollingerova pásma nás mohou upozornit, jestli se nemůže trend otočit.

Když cena konsoliduje s konstantními pohybyna jednu a druhou stranu zmíněného průměru, pak je nejlepší být mimo trh při krátkodobém obchodování. Protože nevíme jak cena bude reagovat dále.
Pokud přidáme pásma s 2 DE, vidíme, jak zatímco se cena drží uvnitř pásem, vývoj trendu je jednoduchý, při každém impulsu dosáhne a testuje odpovídající pásmo, a když kvůli nadměrné volatilitě překročí nebo „prolomí“ pásmo, následující pohyb je korekce, menší nebo větší, ale významná korekce nebo obrat trhu.
K čemu slouží Bollingerova pásma?
Funkce pásem není nic jiného než pokusit se označit vnější hranici pohybů ceny trendu, i když jen jako referenci, protože nakonec vše závisí na volatilitě trhu a ne na jednom indikátoru.
Když nastnae pohyb s vysokou volatilitou a tento pohyb „prolomí“ naprosto jasně dané pásmo, uzavře svíčku nebo svíčky na druhé straně struktura pravděpodobně skončila.
To stejné když už nemůže dosáhnout pásma kvůli vyčerpání a překročí klouzavý průměr, struktura pravděpodobně skončila.

Pokud použijeme indikátor Bollingerových pásem spolu s oscilátorem, který také naprogramoval John Bollinger a známý jako %B, vidíme, že informace, které získáváme, jsou exponenciálně větší.
Oscilátor %B se pohybuje v rozsahu od 0 do 100, což je, když se cena pohybuje uvnitř pásem indikátoru, a když je nadměrná volatilita a cena se dostane nad nebo pod příslušné pásmo, v oscilátoru vidíme, jak signál vychází nad 100 nebo pod 0.

Nejen to, ale také v oscilátoru můžeme pozorovat, že jak se struktura pohybu nebo impulsu vyvíjí, oscilátor nám ukazuje důležité divergence, které nám předpovídají konec pohybu.
A to právě když se nám vytvoří mezera v projekci divergence v ceně, a není mezera v přímce divergence oscilátoru, struktura pravděpodobně skončila.
Kombinované použití obou, indikátoru a oscilátoru, umožňuje mít mnohem jasnější kontrolu nad vývojem cen aktiva.
A v případě rostoucího trendu a významnějších korekcí, pomoc oscilátoru, když v rostoucím trendu cena klesne pod nulu, nám jasně ukazuje konec korekce nebo prvního impulsu po významnějším obratu trhu.
Dalším důležitým aspektem indikátoru Bollingerových pásem je, když v zúženích a expanzích nebo oddělení mezi pásmy dosáhneme extrémních zón, protože tato informace nám bezpochyby předpovídá pravděpodobnou změnu ceny.
John tvrdí, že proto je důležité standardní nastavení 20 období a 2 DE a naprogramoval tak nový pomocný oscilátor, oscilátor Bandwidth Bollinger, který nám ukazuje přesně, jaká je vzdálenost mezi dvěma pásmy.

Když dojde k zúžení, obvykle to znamená klid před bouří, zúžení nastává, když se cena pohybuje do strany a na trhu není téměř žádná síla, a obvykle je to okamžik před silným pohybem na trhu.
Naopak, když se pásma příliš oddělí, je relativně snadné detekovat zóny konce impulsu nebo korekce. Když oscilátor Bandwidth v okamžiku silného oddělení (hory, které kreslí) změní směr, je obvyklé, že pohyb skončil.
Konec zón „hor“ naznačuje konec pohybu, pozor, nemá to nic společného se směrem ceny.
V příkladu horního grafu můžeme vidět, jak graf Tesly na denním grafu kreslí důležité zúžení, nejdůležitější od roku 2016, které předpoví další cenu.
Na druhou stranu vidíme, jak pokaždé, když se vzdálenost mezi pásmy zvětšuje, znamená to, že impuls nebo probíhající korekce dokončila svůj pohyb.
Výstup ze zúžené zóny v prosinci 2023 vedl k rozsáhlému poklesu o více než 80 dolarů na akcii. -33,97% v jediném sestupném impulsu.
Jak používat Bollingerova pásma s RSI nebo oscilátorem momentum?
Mohu použít Bollingerova pásma jako indikátor k detekci oblastí, kde bych měl zpozornit k možnému obratu trhu, když „prorazí“ pásma a současně použít oscilátor momentum, abych měl více informací o tom, kdy může trh otočit.
Osobně se mi RSI vůbec nelíbí, příliš mnoho falešných signálů, upřímně si myslím, že je mnohem lepší a mnohem pevnější Ultimate oscilátor Larryho Williamse, je to také oscilátor momentum, ale s mnohem pevnějším programováním. Pojďme se podívat na několik příkladů

Jak můžete vidět, kombinací informací ze dvou nástrojů, Bollingerových pásem jako indikátoru a oscilátoru momentum, se dosáhne toho, že informace jsou mnohem přesnější a s menším počtem chyb. Hledáme jen něco v oblastech, kde již předpokládáme, že se může něco stát, tím se možnost chyb výrazně snižuje.
Začínáme z levé strany, vidíme obvyklý obrat ve tvaru W, který RSI oscilátor a Ultimate podporují jasnými divergencemi. Už v horní části, při první důležité korekci s cenou prorážející horní pásmo, RSI nedává žádný dostatečně jasný signál a Ultimate ano, právě oscilátor ztrácí oblast 50, kromě divergence.
V následujícím pohybu, na konci impulzu, cena neprolomí pásmo, ale oba oscilátory ukazují jasné divergence v případě Ultimate, opět ztrácí zónu 50. Následující pohyb končí korekcí dolů, indikátor prolomí spodní pásmo a Ultimate s jasnou divergencí.
Poslední označený pohyb, opět maximum a otočení do pohybu dolů, indikátor, již bez síly, nepřekoná pásmo, ale zde je to Ultimate, který nám kreslí jasnou divergenci.
Jak používat Bollingerova pásma se Stochastickým oscilátorem?
Podíváme se na strategii využívající indikátor Bollingerových pásem s stochastickým oscilátorem, a poté uvidíme další strategii, využívající Bollingerova pásma.
Použitím Bollingerových pásem se stochastickým oscilátorem, připomeňme si, že stochastický je oscilátor momenta, který měří vztah mezi zavírací cenou aktiva a jeho cenovým rozsahem během určitého období, pokud jej používáme se standardním nastavením, 14 období, získáme následující.
Opravdu, pokud bych označil pouze zóny, kde se shodovaly informace z obou nástrojů, umístil bych 3 nebo 4 signály. A to jsou právě ty, které se shodovaly s pohybem stochastického oscilátoru s odrazem od zóny 20.

Všechny ostatní signály, žádný neodpovídá Bollingerovým pásmům ani klouzavému průměru. To není divné, nikdy standardní programování není nejúčinnější při hledání informací o tom, co se děje na trhu.
Nejběžnější je, že informace přichází se zpožděním 2 nebo 3 svíček a někdy i více a právě toto se děje u většiny oscilátorů.
Než oscilátory použijete, musíte to mít na paměti a počítat s tím. Zkrátká v technické analýze, není vše hned.
Jak používat Bollingerova pásma se systémem dvou stochastik, nebo „Systémem vlaků“?
Podívejme se nyní, co můžeme získat pomocí Bollingerových pásem a systému se dvěma stochastiky, jeden s 76,3, 5, velmi solidní s 76 obdobími, a druhý s programováním 8,3,3, velmi aktivní s 8 obdobími.
Než se podíváme na to, co se děje, když používáme tyto dva nástroje, dovolte mi vysvětlit jak funguje „Systém vlaků“, což je název systému se dvěma stochastiky.
Stochastický oscilátor je impulsní oscilátor, který měřením vztahu ceny v rámci cenového rozpětí velmi jasně určuje impuls trendu, čím větší je programování, čím více období zahrnuje rozpětí, tím větší bude.
A tak získává velmi solidní informace o ceně, NIKDY to není překoupení nebo přeprodej, naopak, když zůstává v extrémních zónách, označuje pouze trend.
Takže když jsme v trendu, „Pomalý vlak“ stochastik s 76 obdobími, zůstává v horní části oscilátoru, což pro lepší pochopení nazvu „Severní stanice“ v případě rostoucích trendů, nebo ve spodní části nebo „Jižní stanice“ v případě klesajících trendů.
Zatímco další stochastik, ten s programováním 8 období, kterému budeme říkat „Rychlý vlak“, protože vztahuje svou cenu k velmi malému rozpětí, je velmi nervózní. Pohybuje se se všemi impulsy a korekcemi ceny.
Systém je velmi jasný, když „Pomalý vlak“ je pevně na „Severní stanici“, znamená to, že jsme v jasném rostoucím trendu, zatímco „Rychlý vlak“ jezdí do sousedních vesnic, aby přivezl cestující k „Pomalému vlaku“.

Technicky vysvětleno, během trendu, kdykoli dojde ke korekci, „Rychlý vlak“ odjíždí ze „Severní stanice“ směrem dolů.
Jakmile ovšem korekce skončí, vrací se zpět k „Severní stanici“, což je ten okamžik, kdy cena udělá nový impuls ve dále v trendu. A ten bývá často velmi ziskový
Využití tohoto systému slouží k tomu, abychom vždy věděli, kde se nacházíme, zda je dané aktivum obchodovatelné, zda jsme v silném trendu nebo již na konci, a zda jsme v rámci trendu v impulsu nebo v korekci. I přesto že strategie zní složitě. Jakmile si ji jednou vyzkoušíte, lépe ji pochopíte.
Nyní se podívejme, jaká je možná strategie, využívající nejen „Systém vlaků“, ale také Bollingerova pásma, abychom měli také umístěnou cenu a očekávané oblasti jako strop.
Nicméně, ať si nikdo nedělá falešné naděje, TATO STRATEGIE NENÍ OBCHODNÍ SIGNÁL, Tato strategie je velmi užitečná pouze jako mapa pro jasné umístění na trhu, ve které fázi se nacházíme.
A to tedy trend, impuls, korekce nebo zóna obratu.
Další indikátory volatility
Nicméně, Bollingerovy pásma jsou jen jedním z mnoha indikátorů volatility, které existují, níže uvádím další tři z nejdůležitějších.
- ATR (Average True Range): Tzv. průměrný skutečný rozsah, je technický indikátor, který měří volatilitu finančního aktiva. Byl vyvinut J. Wellesem Wilderem a používá se k hodnocení volatility trhu.
- Výpočet: ATR se vypočítává jako největší z následujících tří hodnot:
- Rozdíl mezi aktuálním maximem a aktuálním minimem.
- Absolutní rozdíl mezi aktuálním maximem a předchozím uzavřením.
- Absolutní rozdíl mezi aktuálním minimem a předchozím uzavřením.
Poté se tato hodnota průměruje za specifické období, obvykle 14 dní.

- Využití:
- Hodnocení volatility: ATR neukazuje směr, pouze volatilitu. Vysoké ATR znamená vysokou volatilitu, zatímco nízké ATR znamená nízkou volatilitu.
- Stop Loss a Cíle: Obchodníci často používají ATR k určení úrovní stop loss a take profitů na základě nedávné volatility trhu.
- Keltnerovy kanály: Keltnerovy kanály jsou technický indikátor, který se skládá ze tří linií: exponenciální klouzavý průměr (EMA) uprostřed a dvě vnější linie, které jsou umístěny ve vzdálenosti rovné ATR nad a pod EMA.
- Výpočet:
- Středová linie: Obvykle EMA s 20 obdobími.
- Horní a dolní linie: Ty se vypočítávají přičtením a odečtením násobku ATR (obvykle 2krát ATR) k EMA.

- Využití:
- Trendy: Pomáhají identifikovat směr a sílu trendu. Ceny, které se drží blízko horního pásma, naznačují silný vzestupný trend, zatímco ceny blízko dolního pásma naznačují silný sestupný trend.
- Signály vstupu/výstupu: Ceny, které se dotýkají nebo překračují vnější pásma, mohou signalizovat podmínky překoupení nebo přeprodanosti, což potenciálně naznačuje body obratu.
- Donchianovy kanály: Jedná se o trendový indikátor, který se používá k identifikaci volatility trhu a možných bodů průlomu. Byl vyvinut Richardem Donchianem a skládá se ze tří linií: horní, dolní a středové linie.
- Výpočet:
- Horní Linie: Nejvyšší cena během specifického období (například 20 dní).
- Dolní Linie: Nejnižší cena během stejného období.
- Střední Linie: Průměr horní a dolní linie.

- Využití:
- Identifikace Breakoutů: Když cena prorazí nad horní linii, je to považováno za nákupní signál. Když prorazí pod dolní linii, je to považováno za prodejní signál.
- Určení Trendů: Donchianův kanál pomáhá identifikovat směr trendu. Pokud se ceny pohybují konzistentně nad střední linií, může to indikovat rostoucí trend a naopak.
- Volatilita: Vzdálenost mezi horní a dolní linií indikuje volatilitu trhu. Širší pásmo indikuje větší volatilitu.
Stručně řečeno, Bollingerova Pásma jsou technický indikátor používaný k měření volatility trhu a potenciálních podmínek překoupení nebo přeprodeje. Skládají se z jednoduchého klouzavého průměru a dvou pásem umístěných ve vzdálenosti dvou standardních odchylek nad a pod klouzavým průměrem.