Akciový trh
Co je volatilita a jak ovlivňuje investice?

Volatilita je ukazatel používaný na burze k měření kolísání ceny určitého aktiva v průběhu času. Pokud cena aktiva výrazně kolísá, jedná se o aktivum: „velmi volatilní“.
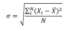
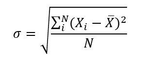
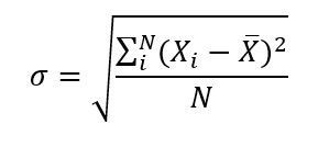
Pro výpočet volatility aktiva obecně používáme tzv. směrodatnou odchylku. Směrodatná odchylka nám totiž udává průměrný rozptyl dané veličiny. V tomto případě průměrnou rozptyl ceny aktiva, který udává volatilitu tohoto aktiva.
V mnoha případech není nutné ani používat směrodatnou odchylku k určení, zda je aktivum velmi volatilní. Sledováním jeho ceny a pozorováním kolísání, které prochází, můžeme přibližně určit, zda je aktivum velmi volatilní nebo ne.
Je však třeba poznamenat, že vždy hovoříme o volatilitě a minulých výkyvech. Není však nijak obtížné zjistit minulou volatilitu, ale předpovědět právě tu budoucí. Volatilitu totiž můžeme využít velmi efektivně pro všechny naše výnosy. Nejčastěji používaným indikátorem pro předpověď budoucí volatility na trhu index VIX, známý mezi investory jako „indikátor strachu“.
Volatilita na burze
Volatilita je velmi známý a důležitý koncept na burze, který je třeba zdůraznit. Finanční volatilita hraje vždy rozhodující roli při jakékoliv investici.
Jak již víme, volatilita je změna, kterou cena aktiva prochází v průběhu času. Pokud je aktivum velmi volatilní, mohli bychom například utrpět značné ztráty. Stejně tak by tato volatilita mohla pohltit celou naši záruku, což by mohlo vést k margin callu od brokera.
Z tohoto důvodu se provádějí analýzy, jako jsou výzvy k úhradě marže, aby se zjistilo, zda si tuto volatilitu vůbec můžeme dovolit a nebo ne nebo zda bychom měli vůbec do daného aktiva investovat. Stejně tak můžeme od brokera obdržet preventivní výzvu k úhradě marže, ve které jsme upozorněni na očekávané období vysoké volatility a také na povinnost vložit více prostředků, abychom jí mohli efektivně čelit.
👉 Jak investovat na burze? | Průvodce pro začátečníky
Vzorec pro výpočet volatility
Výpočet volatility určitého aktiva je možný díky směrodatné odchylce. Tímto způsobem můžeme vypočítat minulý rozptyl proměnné, kterou jsou v tomto případě cena aktiva.

Způsob výpočtu spočívá kvadratizací odchylek. Výsledek následně vydělíme počtem celkových pozorování, které jsme provedli a nakonec bychom měli provést odmocninu, abychom získali odchylku a tím i volatilitu.
Je důležité zdůraznit, že mluvíme o minulé volatilitě neboli historické volatilitě. Pro očekávanou volatilitu se používají jiné indikátory, jako je index volatility nebo index VIX, na který se podíváme níže.
Index volatility nebo index VIX
Index VIX neboli index strachu ve světě investic je indikátor, používaný k předpovědi očekávané volatility na finančních trzích.
Prozrazuje nám očekávanou volatilitu na amerických finančních trzích z krátkodobého hlediska.
Jeho název pochází z angličtiny, kde jeho zkratka odkazuje na Volatility Index, což ve češtině znamená index volatility.
Přestože mluvíme o indikátoru zaměřeném na americký trh, existují i jiné indexy, jako je VSTOXX nebo VXN, které měří totéž, ale v těchto případech pro Euro Stoxx 50 a Nasdaq.
Typy volatility
Před koncem tohoto článku, je třeba poznamenat, že když hovoříme o volatilitě, můžeme se setkat s několika typy volatility.
V závislosti na měření, které provádíme, můžeme volatilitu klasifikovat následovně:
Na základě období (minulost nebo budoucnost):
- Historická volatilita: Jedná se o změnu cenu během dlouhého období, v kontrastu s průměrnou cenou. Obvykle se vypočítává za posledních 12 měsíců, čímž se získá volatilita aktiva během tohoto roku.
- Implikovaná nebo očekávaná volatilita: Odkazuje na očekávanou změnu ceny aktiva za dané období. Tuto změnu neznáme, takže ji nemůžeme vypočítat. Získává se z řady dalších indikátorů, které umožňují přiblížit očekávanou změnu aktiva v budoucnosti.
Na základě vzorku:
- Stochastická volatilita: Tento typ volatility se týká nejistých změn ceny aktiva, které brání měření tím, že způsobují chyby, které znemožňují jeho výpočet, nebo vedou k dalším a hlubším chybám. Pro její výpočet musí být použity složitější modely, jako jsou samotné modely stochastické volatility.
- Deterministická volatilita: Minulá volatilita. V tomto případě ta, kterou získáváme z standardní odchylky, v situaci, kdy nedochází k chybám ani nejistým změnám, které by bránily jeho výpočtu a tedy měření.
💡 Jak funguje ETF a jaké jsou jeho typy?
V praxi může mít vysoká volatilita dopad nejen na hodnotu investice, ale také na naše psychické nastavení. Mnoho začínajících investorů pod vlivem prudkých pohybů na trhu panikaří a dělá unáhlená rozhodnutí, jako je rychlý prodej se ztrátou nebo naopak impulzivní nákup při růstu. Proto je důležité kromě technické znalosti volatility pracovat i se svou psychologií investora. Stabilní strategie, disciplína a plán pro různé scénáře mohou pomoci překonat období vysoké volatility bez zbytečných chyb.
Volatilita investičního fondu
Stejně jako ji vypočítáváme pro cenu akcie, můžeme ji vypočítat i pro cenu fondu, čímž můžeme analyzovat volatilitu, kterou tyto finanční produkty mají s ohledem na jejich ceny.
Když investujeme do investičního fondu, kupujeme podíly akcií za určitou cenu. I když jsou tyto podíly rozloženy mezi velkým počtem aktiv, právě ceny těchto podílů odráží změny volatility daného fondu.
Proto stačí vypočítat standardní odchylku nad cenou jednotlivých podílů, abychom znali volatilitu tohoto typu finančního produktu. Stejně jako u akcie nebo jiného typu aktiva.
Příklad volatility: bitcoin
Na závěr, uvádím jasný příklad volatility, který najdeme u bitcoinu.
Jedná se o tu nejznámější kryptoměnu na světě a je také velmi volatilním aktivem.
Jeho cena se během několika dní zvýšila o více než 200 %, stejně tak prošla poklesy většími než 100 %.
Toto aktivum, protože prochází mnoha a velmi výraznými změnami, je velmi volatilní. Navíc, tyto náhlé změny v ceně představují riziko pro investora, které musí investor před svou investicí brát v úvahu.
👉 Bitcoin (BTC) vs Ethereum (ETH): Která kryptoměna je lepší?