Fundamentální analýza / Hodnota
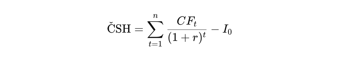
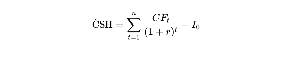
ČSH (Čistá současná hodnota)

Čistá současná hodnota (ČSH), nebo v angličtině NPV (Net Present Value), je jednoduchá a velmi známá metoda pro určení, zda nás zajímá realizace obchodního projektu nebo investice.
Když se chystáme realizovat podnikatelský projekt, je nutné nejprve vypočítat ziskovost nebo jaké výhody nám to v budoucnu přinese.
Je tedy logické si myslet, že projekt by měl mít vyšší ziskovost než bezrizikový fixní výnos dostupný na trhu. Pokud tomu tak není, je nejlepší se nezatěžovat realizací investice, se všemi problémy, které to s sebou přináší.
Můžeme to chápat následujícím způsobem: Když bezrizikový fixní výnos nabízí vyšší ziskovost než projekt, znamená to, že nejjednodušší a nejpohodlnější je investovat do státního dluhu nebo do korporátního dluhu (s velmi nízkým rizikem). To místo toho, abychom investovali kapitál do analyzovaného projektu.
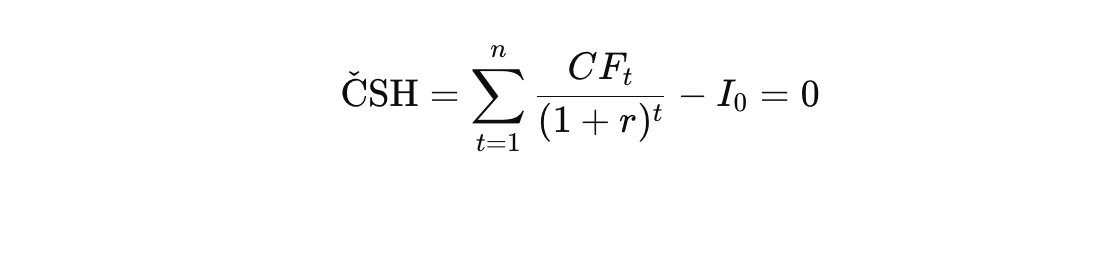
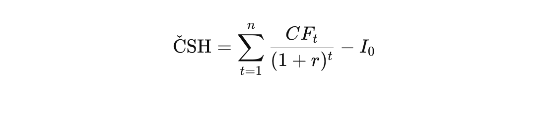
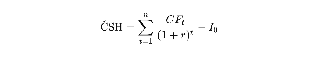
Vzorec ČSH
ČSH se vypočítá jako současná hodnota očekávaných volných peněžních toků, které vznikají z investice, mínus počáteční investice. Takže proměnné, které potřebujeme znát, jsou následující:

CFt = peněžní tok v období t
r = diskontní sazba (požadovaná míra výnosu)
t = pořadí období (1, 2, 3 … n)
n = počet období
I0 = počáteční investice
👉 Pro více informací: Fundamentální analýza na burze
Interpretace ČSH
- ČSH>0 Projekt vykazuje vyšší ziskovost než bezrizikový fixní výnos. Projekt by měl být přijat.
- ČSH=0 Projekt se rovná výnosnosti bezrizikového pevného výnosu. Proto je třeba zvážit určité výhody, jako je image značky, postavení společnosti atd., aby byl přijat.
- ČSH<0 Projekt nezlepšuje výnosnost státního dluhu, a proto by neměl být přijat.
Pochopení ČSH
To, co jsme udělali, je diskontování každého budoucího peněžního toku úrokovou sazbou pevného výnosu. Tímto způsobem se všechny toky přenesou do současného okamžiku, aby se od nich odečetla původní investice. Tak se získá ČSH neboli Čistá současná hodnota, což je měřítko očekávané výnosnosti v absolutní a současné hodnotě.
Je zřejmé, že pro přijetí investičního projektu je třeba vzít v úvahu mnoho faktorů, které ČSH nezahrnuje. Ale je to dobrý výchozí bod pro zvážení projektu.
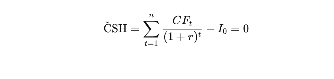
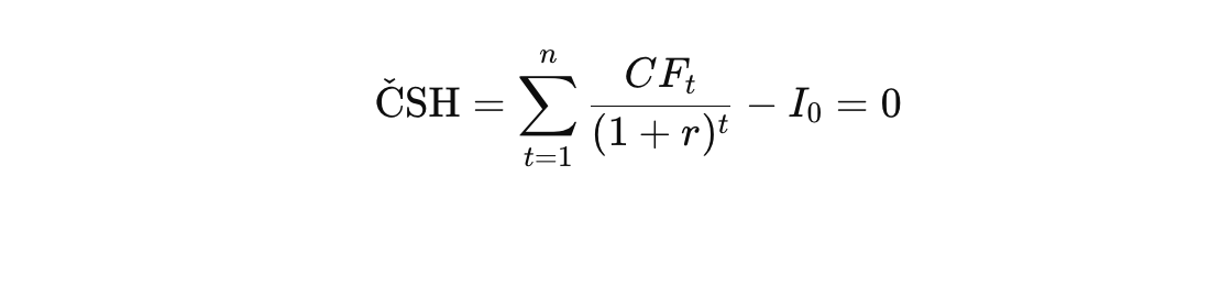
Varianta vzorce nastává, když se ČSH rovná nule a vypočítáme TIR, vnitřní míru návratnosti, což je úroková sazba, kterou nám projekt přináší, a opět musí být vyšší než úroková sazba bezrizikového pevného výnosu.

Výhody použití ČSH
- Je snadné ho aplikovat.
- Zohledňuje hodnotu peněz v čase, aby bylo možné porovnávat peněžní toky v různých obdobích. Je tedy nutné je sjednotit na stejném datu (současnost).
- Jeho výsledek je veličina, která odráží hodnotu generovanou investicí. To na rozdíl od TIR, která poskytuje procento.
- Umožňuje porovnávat projekty s různými charakteristikami.
Nevýhody použití ČSH
- Hodnota R je v budoucnosti neznámá. Proto je třeba použít průměrnou úrokovou sazbu. Lze použít křivku ETTI (Časová struktura úrokových sazeb), náklady na kapitál společnosti nebo náklady příležitosti.
- Projekce mohou selhat. Příjmy mohou být nižší, než se očekávalo, nebo výdaje mohou překročit odhad, což by vedlo k nižším peněžním tokům, ovlivňujícím ČSH.
- Doba trvání projektu se může v určitém okamžiku jeho vývoje lišit od původního plánu.
- Hypotéza reinvestice čistých peněžních toků, která se provádí za stejnou hodnotu R, nemusí být splněna.
Výpočet ČSH s Excelem
V aplikaci Excel, která je velmi rozšířená mezi veřejností, se ve finančních vzorcích nachází funkce ČSH (ekvivalent vzorce NPV v tabulkách dostupných na Google Drive), která vrací Čistou současnou hodnotu na základě série toků a diskontní sazby. Je třeba mít na paměti, že v Excelu se budoucí platby uskutečňují na konci období. Proto nesmíme zahrnout počáteční investici do matice plateb a přidáváme hodnotu zvlášť (se záporným znaménkem, protože se jedná o výdaj). Například si představme, že máme investici 80 měnových jednotek na 5 let s úrokovou sazbou 5 % a toky jsou následující:
1 období=20 m.j.
2 období=10 m.j.
3 období=10 m.j.
4 období=50 m.j.
5 období=10 m.j.
ČSH je 5,73>0
Proto je projekt přijat, protože jsme překonali pevný výnos.
