Akciový trh
CAGR: Jak vypočítat výnos investice?

Zajímá vás, jakým tempem roste vaše investice v čase — bez ohledu na výkyvy během jednotlivých let? Právě k tomu slouží ukazatel CAGR (Compound Annual Growth Rate), neboli složená roční míra růstu. Jedná se o základní nástroj finanční analýzy, který ukazuje průměrný roční výnos investice za sledované období.
CAGR pomáhá investorům (ale i podnikům a firmám) lépe porozumět výkonnosti svých aktiv, porovnávat různé investiční možnosti, a rozhodovat se tak především na základě dat, nikoli emocí.
Co je to CAGR a jaký má význam
CAGR je jednoduchý, ale mimořádně užitečný ukazatel, který říká, jakým průměrným tempem by vaše investice rostla každý rok, pokud by byl výnos rovnoměrný. Ve skutečnosti se výnosy samozřejmě liší – jeden rok může být růst nadstandardní, jiný rok zase horší – a právě CAGR tyto výkyvy jednoduše zprůměruje.
CAGR (průměrná roční míra růstu) ukazuje, jakým tempem by investice rostla každý rok, pokud by byl výnos rovnoměrný, s ohledem na efekt složeného úročení.
Díky ukazateli CAGR mohou investoři a firmy porovnávat investiční příležitosti, hodnotit výkonnost různých investic, fondů nebo akcií v čase a projektovat budoucí růst realističtěji než pouhým pozorováním meziročních změn. Nabízí jednodušší pohled na růst podnikání, tržeb nebo zisků v průběhu delšího období.
Jednoduchý výnos vs. Roční výnos
Abychom lépe pochopili význam CAGR (průměrné roční míry růstu), je třeba rozumět rozdílu mezi jednoduchým a ročním výnosem:
- Jednoduchý výnos: Vypočítá se jako procentuální rozdíl mezi počáteční a konečnou hodnotou investice, bez ohledu na uplynulý čas a efekt kapitalizace výnosů.
- Roční výnos (CAGR): Odráží složený růst v průběhu času, ukazuje konstantní výnos potřebný k dosažení konečné hodnoty z počáteční hodnoty.
Praktický příklad: Jednoduchý výnos vs. CAGR
Pojďme si rozdíl mezi těmito dvěma principy uvést na jednoduchém, praktickém příkladu:
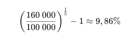
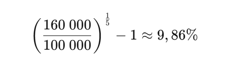
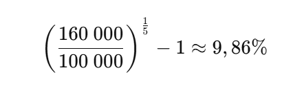
Představte si, že investujete 100 000 Kč do akcie, za 5 let je hodnota vaší investice 160 000 Kč.
Na základě jednoduchého výnosu dokážeme vypočítat nárůst o 60 %. Jednoduchý výnos spočítáme jednoduše jako rozdíl mezi konečnou a počáteční hodnotou, který poté vydělíme počáteční hodnotou:
Tento výpočet nám sice říká, že investice celkově vzrostla o 60 %, ale nedokážeme z něj vyčíst, jakým tempem rostla každý rok.
A právě tady přichází na řadu CAGR, který dokáže vypočítat, jaké konstantní roční zhodnocení vedlo k této konečné hodnotě. Vzorec pro výpočet CAGR vypadá následovně:


Díky složenému ročnímu výnosu dokážeme spočítat, že vaše investice rostla průměrně o 9,86 % ročně.
Jinými slovy, CAGR říká: „Vaše investice by musela růst každý rok o 9,86 %, aby se ze 100 000 Kč dostala na hodnotu 160 000 Kč za 5 let.“ Bez ohledu na to, že se skutečné výnosy v průběhu let mohly kolísat.
Rozdíl tedy spočívá v tom že zatímco jednoduchý výnos nám říká celkové zhodnocení, CAGR nabízí realistější pohled na průměrné tempo růstu v čase, díky čemuž dokážeme lépe pochopit skutečný růst. To je mimořádně užitečné zejména při porovnávání různých investičních příležitostí s různou délkou trvání.
Jak vypočítat CAGR?
Jak vidíme v příkladu výše, nejde o nic složitého – CAGR zvládnete vypočítat i na kalkulačce.
Vysvětlení vzorce pro výpočet CAGR:
- Počáteční hodnota – kolik jste investovali na začátku
- Konečná hodnota – kolik má investice na konci sledovaného období
- n – počet let
Příklad:
- Počáteční investice: 100 000 Kč
- Konečná hodnota po 5 letech: 160 000 Kč
- Počet let: 5 let
- CAGR: 9, 86 %
CAGR vám řekne, jaká by musela být každoroční návratnost, pokud by růst byl lineární – což je pro srovnání investic velmi užitečné.
Jedná se o základní nástroj finanční analýzy, protože poskytuje jasný a srovnatelný pohled na dlouhodobý růst investice nebo podnikání, což umožňuje činit informovaná a realistická rozhodnutí.
Praktický příklad: Meta Platforms
Abychom si ukázali, jak využívají CAGR investoři v praxi, podívejme se na reálný příklad s akciemi Meta Platforms (dříve Facebook).

V srpnu 2021 nakoupil investor akcie Meta na jejich historickém maximu za 376 USD. Jen o rok později, v listopadu 2022, jejich hodnota dramaticky klesla na pouhých 90 USD – což je propad o více než 75 %.
Přesto se investor rozhodl nepanikařit a akcie si ponechal. V průběhu dalších měsíců se akcie začaly zotavovat a 24. února 2025 dosáhly nového dosavadního maxima – hodnoty 670 USD.
Investor se tedy ptá: Jaký byl skutečný roční výnos z této investice, i přes výrazné kolísání ceny v průběhu let?
A právě na tuto otázku získáme odpověď, pokud spočítáme CAGR:

To znamená, že investice do akcií Meta přinesla během 3,5 let průměrný roční výnos 17,9 % – navzdory extrémní volatilitě a panice během držení akcií této společnosti, kdy zažila pád o 67 %.
Vysoké CAGR může být sice atraktivní, avšak pozor na možnou volatilitu – CAGR neukazuje, jak „klidná“ ta cesta byla.
Na tomto příkladu můžeme vidět, jak užitečný je CAGR pro dlouhodobé investory. Eliminuje totiž zkreslení způsobené krátkodobou volatilitou a ukazuje realistický průměrný výnos, který by investor dosahoval každý rok, pokud by byl růst hodnoty rovnoměrný (lineární).
Jak interpretovat CAGR při investování
CAGR není jen nějaké číslo – je to cenný nástroj pro pochopení skutečné výkonnosti investice v čase. Ukazuje, jakým průměrným tempem rostla investice každý rok, a to bez ohledu na výkyvy v průběhu jednotlivých let. Díky tomu pomáhá odhalit, jestli za růstem stojí stabilní výkonnost, nebo jen výjimečně silný rok.
V následující tabulce najdete přehled, jak interpretovat určité úrovně CAGR u investic:
| Hodnota CAGR | Charakteristika | Typ investice | |||
|---|---|---|---|---|---|
| 3–5 % | Nízký, stabilní výnos | Dluhopisy, spořicí produkty, defenzivní fondy | |||
| 6–10 % | Solidní a dlouhodobě udržitelný růst | Akciové indexy, smíšené fondy, velké firmy | |||
| 11–15 % | Nadprůměrný výnos při přiměřeném riziku | Růstové akcie, aktivně řízené fondy | |||
| 16 % a více | Velmi vysoký výnos – často s výraznou volatilitou | Technologie, start-upy, alternativní investice |
| Hodnota CAGR | Charakteristika | Typ investice |
|---|---|---|
| 3–5 % | Nízký, stabilní výnos | Dluhopisy, spořicí produkty, defenzivní fondy |
| 6–10 % | Solidní a dlouhodobě udržitelný růst | Akciové indexy, smíšené fondy, velké firmy |
| 11–15 % | Nadprůměrný výnos při přiměřeném riziku | Růstové akcie, aktivně řízené fondy |
| 16 % a více | Velmi vysoký výnos – často s výraznou volatilitou | Technologie, start-upy, alternativní investice |
Jaká hodnota CAGR je optimální
Optimální hodnota CAGR v absolutním slova smyslu neexistuje – vždy záleží na typu investice, vašich cílech, investičním horizontu a vaší toleranci k riziku. Jinou „optimální“ návratnost očekává investor do technologických akcií a jinou ten, kdo hledá stabilní příjem z konzervativního fondu.
Optimální CAGR je tedy takový, který odpovídá vaší strategii – dlouhodobý investor může cílit na stabilních 8–10 %, zatímco dynamický investor hledá vyšší návratnost a je připraven akceptovat větší výkyvy.
Jak využít CAGR při investování?
Složené roční tempo růstu (CAGR) využívají investoři a finančníci k různým účelům. Pojďme si představit jednotlivé příklady využití v praxi:
Porovnání výkonnosti různých investic
Pokud investujete do více různých aktiv (například akcií, fondů nebo kryptoměn), CAGR vám pomůže porovnat, která z těchto investic rostla nejefektivněji – bez ohledu na to, jak kolísavý byl její vývoj v průběhu let.
Například:
- Investice do Berkshire Hathaway v letech 1964–2023 přinesla roční CAGR 19,8 %
- Stejné období přineslo S&P 500 CAGR 10,2 %
Rozdíl vypadá jako pouhých 9,6 procentního bodu, ale v dlouhém horizontu (konkrétně během 69 let) je rozdíl markantní. Investovaných 1 000 USD do společnosti Berkshire Hathaway by dnes mělo hodnotu přes 55 milionů USD. Stejná částka investovaná do indexu S&P 500 by odpovídala hodnotě zhruba 379 000 USD.
To je ukázka síly dlouhodobého složeného růstu.
Hodnocení výkonnosti fondů, akcií nebo portfolií
CAGR umožňuje srovnávat různé fondy nebo akcie i v případě rozdílné volatility nebo délky držení. To je v praxi užitečné například při analýze, zda se vyplatí aktivně řízený fond oproti pasivně spravovanému indexu.
Analýza růstu firem a projektů
Investoři a analytici využívají CAGR i mimo finanční trhy – například při hodnocení růstu tržeb, zisků nebo zákaznické základny firem. To pomáhá posoudit, zda firma opravdu stabilně roste, nebo jen jednorázově vyskočila.
Využití CAGR v praxi
Při investování vám může pomoci, pokud si uvědomíte, že:
- CAGR ukazuje skutečný dlouhodobý růst – ne krátkodobé emoce.
- Vysoké CAGR je lákavé, ale vyžaduje důkladnější pohled na volatilitu a související riziko.
- Nehodnoťte investici jen podle krátkodobých propadů – jak ukazuje případ Meta, klíčový je dlouhodobý horizont.
To vám může pomoci při objektivním investičním rozhodování, díky čemuž si můžete zajistit lepší výnosy.
Výhody a nevýhody využití CAGR
CAGR je silný nástroj pro analýzu výkonnosti investic v čase, ale jako každý ukazatel má své nedostatky. Níže najdete hlavní klady a zápory přehledně v jedné tabulce:
| Výhody využití CAGR | Nevýhody využití CAGR | ||
|---|---|---|---|
| ✅ Umožňuje snadno porovnávat různé investice | ❌ Nereflektuje skutečnou volatilitu (kolísání) hodnoty investice | ||
| ✅ Zmírňuje výkyvy meziročních výnosů | ❌ Může být zavádějící u krátkodobých investic nebo při mimořádných událostech | ||
| ✅ Je užitečný pro dlouhodobé plánování a projekce vývoje | ❌ Nezohledňuje mezitímní peněžní toky (např. dividendy nebo průběžné vklady) | ||
| ✅ Poskytuje čistý a srozumitelný obraz o růstu v čase | ❌ Předpokládá rovnoměrný růst, což v reálném světě obvykle neplatí |
| Výhody využití CAGR | Nevýhody využití CAGR |
|---|---|
| ✅ Umožňuje snadno porovnávat různé investice | ❌ Nereflektuje skutečnou volatilitu (kolísání) hodnoty investice |
| ✅ Zmírňuje výkyvy meziročních výnosů | ❌ Může být zavádějící u krátkodobých investic nebo při mimořádných událostech |
| ✅ Je užitečný pro dlouhodobé plánování a projekce vývoje | ❌ Nezohledňuje mezitímní peněžní toky (např. dividendy nebo průběžné vklady) |
| ✅ Poskytuje čistý a srozumitelný obraz o růstu v čase | ❌ Předpokládá rovnoměrný růst, což v reálném světě obvykle neplatí |
CAGR: využití v investicích
CAGR je jednoduchý, ale extrémně užitečný ukazatel pro každého investora. Může vám pomoci nahlédnout na investice v delším časovém horizontu bez zkreslení krátkodobými výkyvy. Ukazuje, jak moc vaše investice doopravdy „vyrostla“ v průměru za každý rok během sledovaného období.
Mějte však na paměti, že CAGR je jen jedna část kvalitní analýzy. Vysoké číslo může být sice lákavé, ale důležitý je širší kontext – volatilita, udržitelnost investice, váš individuální přístup k riziku a vaše individuální investiční cíle. Jedná se o skvělý start, který vás může nasměrovat. Určitě byste ale neměli spoléhat pouze na tento ukazatel při svém rozhodnutí.