Biografie

Markowitz model a jeho efektivní hranice jsou pojmy, které jsme někdy slyšeli během studia na ekonomických fakultách. Nicméně, po letech nevíme přesně, jaké jsou jejich hlavní postuláty a jak nám mohou pomoci diverzifikovat naše riziko při výběru aktiv, která zařazujeme do našeho portfolia.

Hloubka teorie výběru portfolia a následné evoluce se nevejdou do jednoho článku, ale tento má za cíl být základním shrnutím pro pochopení a použití tohoto nástroje prostřednictvím klíčových otázek.
Ale pojďme postupně, než vysvětlíme, co to je a jak se vyvíjí, přejděme k jednodušším definicím.
Efektivní portfolio je takové, které splňuje dvě podmínky:
Tímto způsobem, abyste toho dosáhli, zde jsou některé rady, které byste jako investor mohli následovat:
1. Poznejte svůj investiční profil: To znamená, jaké riziko jste jako investor ochotni přijmout: konzervativní, střední nebo agresivní.
2. Definujte realistické cíle: Je třeba vědět, jaký je cíl, nebo jinými slovy, jaký výnos chci dosáhnout, s vědomím úrovně rizika, kterou chci přijmout. Proto je třeba klást důraz na výraz "realistické cíle", protože:
3. Vyvážení rizika: Nyní, když známe naši úroveň rizika a cíle, které chceme dosáhnout, je čas rozdělit riziko mezi různé aktiva jako akcie, ETF, CFD, fondy...
4. Poradenství v oblasti daní: Po promyšlení plánu, strategie a především po podstoupení veškerého rizika, kterému jsme byli vystaveni, přichází nejtraumatičtější okamžik ze všech, projít pokladnou. Daně. K tomu je zásadní být informován o tom, jak podat daňové přiznání, aby zahrnovalo výnosy z kapitálu, nebo přímo vyhledat odborníka, jinak by nám jakákoli pokuta od finančního úřadu mohla způsobit ztrátu toho, co nás stálo tolik práce a rizika získat.
5. Diverzifikujte své portfolio na základě rizika: Doposud jsme nepřestali mluvit o investování na burze, ale ve skutečnosti existuje mnoho dalších výnosných a možná méně rizikových forem investic: Pasivní příjmy, nemovitosti...
A nyní, když už víme, jak by mělo být nastaveno efektivní portfolio, je čas začít hodnotit Markowitzův model. Zatímco Harry Markowitz vytvořil základní teorie diverzifikace, Bogle je převedl do dostupné investiční praxe
Markowitz model je matematický model používaný k analýze výkonnosti investičních portfolií a byl vyvinut ekonomem Harrym Markowitzem během 50. let 20. století.
Tímto způsobem Markowitz slouží k maximalizaci výnosu minimalizací rizika, k tomu vytváří diverzifikované portfolio v několika třídách aktiv. Tato diverzifikace pomáhá snižovat celkové riziko a zároveň umožňuje dosáhnout vysokého potenciálního výnosu.
V současné době má tento model obrovský vliv v oblasti financí a stále je používán investory a správci peněz po celém světě.
Ekonom Henry Markowitz se narodil v roce 1927 v Chicagu, Illinois.
Patřící k prestižní Chicagské ekonomické škole se stal jedním z nejvýznamnějších investičních analytiků na světě a v roce 1952 napsal článek „Portfolio Selection“ založený na své disertační práci, který ovlivnil jeho kariéru a otevřel nové pole ve studiu optimálního složení portfolia cenných papírů.
V roce 1990 obdržel Nobelovu cenu za ekonomii spolu s Millerem a Sharpem za příspěvky k teorii správy portfolia.
1. Předpokládá se, že finanční trhy jsou dokonalé:
2. Všichni investoři mají stejnou šíři svého plánovacího horizontu, který je jedno období. Na začátku období získají určité portfolio, které prodají na konci daného období.
3. Na finančních trzích se obchoduje s N rizikovými finančními aktivy a jejich kombinacemi. Nezvažuje se existence bezrizikového finančního aktiva, do kterého by bylo možné investovat nebo s nímž by bylo možné financovat.
4. Hodnoty mají okamžitou likviditu na konci referenčního období.
5. Nejsou povoleny prodeje na krátko.
Model navržený Markowitzem má za cíl určit optimální portfolio, tedy takové, které maximalizuje očekávaný užitek investora.
K tomu určuje čtyřstupňový proces, který spočívá v:
Připomeňme si, že efektivní portfolio je takové, které splňuje dvě podmínky.
Tedy efektivní hranice je koncept Markowitzova modelu, který naznačuje, že existuje optimální rovnováha mezi rizikem a výnosem při investování. Tato rovnováha se dosahuje diverzifikací investic do různých tříd aktiv a obvykle se znázorňuje ve formě grafu, s výnosem na ose x a rizikem na ose y. Křivka efektivní hranice představuje optimální portfolio pro danou úroveň rizika.
Například investor s averzí k riziku by si vybral portfolio blíže k ose Y (Ep, nízké riziko), zatímco investor hledající vysokou návratnost by si vybral portfolio blíže k ose X (vysoká návratnost). Tímto způsobem efektivní hranice jsou různé optimální body mezi návratností a rizikem a určí nám, v závislosti na riziku, které jsme ochotni podstoupit, jakou návratnost bychom měli požadovat a naopak.
V jakémkoli jiném případě se považuje portfolio za neefektivní. Efektivní portfolio s nejnižším rizikem je portfolio minimální variance (CMV) a efektivní hranice začíná u CMV.

4. Určení optimálního portfolia

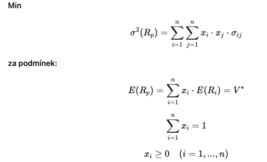
Sada efektivních portfolií může být vypočítána řešením následujícího parametrického kvadratického programu:

Množina dvojic [E(Rp), σ^2 (Rp)] nebo kombinace návratnost-riziko všech efektivních portfolií se nazývá «efektivní hranice». Jakmile je tato hranice známa, investor si podle svých preferencí vybere své optimální portfolio.
Vědeli jste, že Ray Dalio, podobně jako Markowitz, staví své portfoliové strategie na hluboké diverzifikaci rizika.
Markowitzův model je považován za výchozí bod moderní teorie výběru portfolia a určení efektivní hranice. Jeho přístup a následné příspěvky a vývoje jsou bezpochyby jedním z velkých pokroků ekonomické teorie ve 20. století. Nicméně jeho praktické využití investičními manažery a analytiky bylo relativně omezené ve srovnání s jeho teoretickým významem.
Markowitz ve svých studiích dokazuje, že klíčem k diverzifikaci portfolia není jednoduše počet akcií, které ho tvoří, ale korelace jejich výnosů. Pokud je korelace vysoká, nebude možné diverzifikovat, naopak pokud je korelace nízká, bude možné diverzifikovat a riziko bude mnohem menší.