Fundamentální analýza / Hodnota

Čistá současná hodnota (ČSH), nebo v angličtině NPV (Net Present Value), je jednoduchá a velmi známá metoda pro určení, zda nás zajímá realizace obchodního projektu nebo investice.
Když se chystáme realizovat podnikatelský projekt, je nutné nejprve vypočítat ziskovost nebo jaké výhody nám to v budoucnu přinese.
Je tedy logické si myslet, že projekt by měl mít vyšší ziskovost než bezrizikový fixní výnos dostupný na trhu. Pokud tomu tak není, je nejlepší se nezatěžovat realizací investice, se všemi problémy, které to s sebou přináší.
Můžeme to chápat následujícím způsobem: Když bezrizikový fixní výnos nabízí vyšší ziskovost než projekt, znamená to, že nejjednodušší a nejpohodlnější je investovat do státního dluhu nebo do korporátního dluhu (s velmi nízkým rizikem). To místo toho, abychom investovali kapitál do analyzovaného projektu.
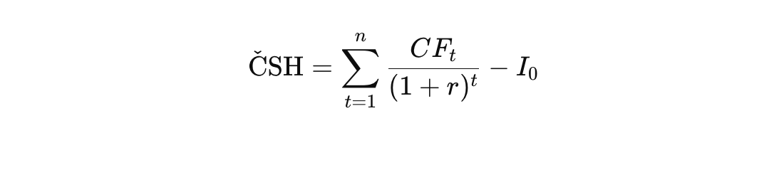
ČSH se vypočítá jako současná hodnota očekávaných volných peněžních toků, které vznikají z investice, mínus počáteční investice. Takže proměnné, které potřebujeme znát, jsou následující:

CFt = peněžní tok v období t
r = diskontní sazba (požadovaná míra výnosu)
t = pořadí období (1, 2, 3 … n)
n = počet období
I0 = počáteční investice
👉 Pro více informací: Fundamentální analýza na burze
To, co jsme udělali, je diskontování každého budoucího peněžního toku úrokovou sazbou pevného výnosu. Tímto způsobem se všechny toky přenesou do současného okamžiku, aby se od nich odečetla původní investice. Tak se získá ČSH neboli Čistá současná hodnota, což je měřítko očekávané výnosnosti v absolutní a současné hodnotě.
Je zřejmé, že pro přijetí investičního projektu je třeba vzít v úvahu mnoho faktorů, které ČSH nezahrnuje. Ale je to dobrý výchozí bod pro zvážení projektu.
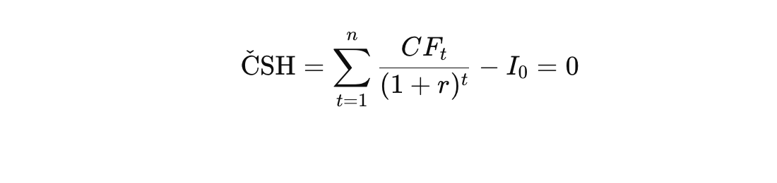
Varianta vzorce nastává, když se ČSH rovná nule a vypočítáme TIR, vnitřní míru návratnosti, což je úroková sazba, kterou nám projekt přináší, a opět musí být vyšší než úroková sazba bezrizikového pevného výnosu.

V aplikaci Excel, která je velmi rozšířená mezi veřejností, se ve finančních vzorcích nachází funkce ČSH (ekvivalent vzorce NPV v tabulkách dostupných na Google Drive), která vrací Čistou současnou hodnotu na základě série toků a diskontní sazby. Je třeba mít na paměti, že v Excelu se budoucí platby uskutečňují na konci období. Proto nesmíme zahrnout počáteční investici do matice plateb a přidáváme hodnotu zvlášť (se záporným znaménkem, protože se jedná o výdaj). Například si představme, že máme investici 80 měnových jednotek na 5 let s úrokovou sazbou 5 % a toky jsou následující:
1 období=20 m.j.
2 období=10 m.j.
3 období=10 m.j.
4 období=50 m.j.
5 období=10 m.j.
ČSH je 5,73>0
Proto je projekt přijat, protože jsme překonali pevný výnos.
